극점의 좌표와 최고차항의 계수 값을 입력하면 그래프를 그려준다.
- 🌐 시작: 잔디 월드의 평면 맵에서 실행해주세요.
- 💻 파일/URL 가져오기: 파일이나 URL을 사용하여 데이터를 가져올 수 있습니다.
소스코드 url 링크: https://makecode.com/_6CuEes4DsC6o
소스코드 파일 다운로드 링크: https://o365cbe-my.sharepoint.com/:u:/g/personal/ssakspirit_o365cbe_net/EZLfBHqaE65NvHhnwIXu_wMBv1DiJ17vAiy8YdAmy08ErQ?e=JWVcwF
- 📈 좌표 그리기: 채팅 명령어 0을 입력해서 직교좌표계를 그려주었습니다. Y 좌표 60에서 그려집니다.
블록채우기는 한번에 채울 수 있는 거리가 한정되어 있습니다. 그래서 반복문을 통해 여러번 채워주는 것이죠.
선모양 만들기로 x, y축을 만들어 주세요. x 값 y값은 -100에서 100까지 값을 가지게 됩니다.
축의 끝에는 글자쓰기로 방향을 알려주세요.
- 📝 함수 그리기: 코드 작성기를 열어 2차 함수 그래프를 그리기 위해 극점과 이차항의 계수를 설정하였습니다.
함수르 그리기 위한 값을 입력하는 코드입니다. 변숫값에다가 원하는 값을 입력해주세요.
정의역 x 값은 그대로 두면 됩니다. 그리는 범위라고 생각하시면 돼요.
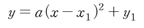
아래의 일반식에서 a가 최고차항(2차항)의 계수이고 x1, y1이 극점의 좌표에요.
- 📉 실행 결과: 설정한 극점과 이차항의 계수로 2차 함수 그래프를 실행하여 확인하였습니다.
실제 그래프의 점을 찍는 코드입니다. 정의역 값이 -100에서 시작해서 100까지 바뀌면서 y값(치역)을 계산합니다.
계산식이 치역y 변숫값으로 약속되어 있는 것을 알 수 있죠. 여기에 있는 계산식이 2차 함수의 일반식이라고 생각하면 돼요. 계산된 위치에 레드스톤블록을 놓는 것입니다. 그리고 극점에는 특별히 황금블록을 놓아서 확인합니다.
- 🤔 코드 해석: 코드에서 일반항과 치역을 해석하고, 극점과 이차항의 계수를 변경하여 다양한 그래프를 그릴 수 있음을 알 수 있겠습니다.
그려지는 모습을 상세히 확인하고 싶다면 다음 영상을 참고하세요.
'마인크래프트 코딩' 카테고리의 다른 글
4장. 순발력이 필요해! 청기백기 게임 #마인크래프트게임제작무따기2 (0) | 2025.05.25 |
---|---|
35,000번 해봤습니다. (0) | 2025.05.25 |
2장. 메이크코드 사용법 배우기 #마인크래프트게임제작무따기2 (0) | 2025.05.25 |
마인크래프트 에듀케이션 무료 수업 Hour of code 플레이하기(마인크래프트 에듀케이션 무료 플레이) (0) | 2023.11.22 |
마인크래프트 메이크코드 활용, 블록으로 1차 함수 그래프 그리기 (0) | 2023.11.20 |